Монтаж вентиляції будинка (Київ)

№236723
Тендер закритий
Монтаж вентиляції будинка (Київ)

Монтаж вентиляції будинка житлового з бянею в с.Пухівка.
2 вент установки.
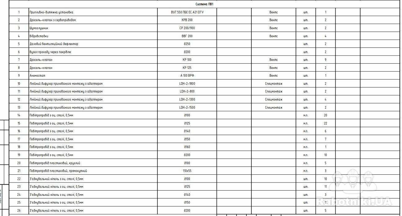
проект в описі

приступати можна найближчим часом

Бюджет до 180 000 грн
Підрядник (шукаю на субпідряд)
Можна почати 25.03.2026, Потрібно закінчити до 30.04.2026
Відредаговано 18.03.2026, 23:27:19

АСТАРТА ПРОФМОНТАЖ
Зареєстрований 11 років тому
Був на сайті 6 днів тому
Київ (Київська область)
Пропозиції по тендеру (5)
Бригада Стройгрупп
На сайті вже 10 років тому
Зараз на сайті
Рейтинг: 44 з 80
Авто-переклад Показати оригінал

Доброго дня звоните обсудим (050) xxx xxxx Роман

місяць тому
Компанія PRIMEAIR
На сайті вже рік тому
Був 56 хвилин тому

Доброго дня. Готові виконати ваше замовлення.

місяць тому
Майстер Микола Полюхович
На сайті вже 2 роки тому
Був 4 дні тому
Рейтинг: 37 з 80
Авто-переклад Показати оригінал

Працюю.

місяць тому
Майстер Наті Наті
На сайті вже 12 років тому
Був 39 хвилин тому
Рейтинг: 49 з 80

Бажаю чудового дня!

Пропоную вам свої комплексні послуги:

+ Розробку цікавого Дизайну Фасаду, Будівель (моделювання будівлі, тераси, прибудови, навісу/накриття, різні варіанти дизайну фасадів, кольори, матеріали, освітлення (нічна/вечірня версії), 3д візуалізація, 3д відео-ролик, 360 град. панорами і т.д.)

https://gnadesigngroup.org.ua/ua/budivli.html

+ Дизайн Інтер єра (розробка цікавих рішень, 3д візуалізація, 3д планування/зонування з розміщенням меблів, план електрики, підбір кольорів, меблів, світла, декору, креатива і т.д), 3д тур по приміщенням- 360 градусів панорами.

https://gnadesigngroup.org.ua/ua/interier.html

+ розробку зонування/планування благоустрою території навколо, Ландшафтного дизайна, вхідної/в їзної групи, різноманітних зон відпочинку, підбір рослин та тротуарної плитки/доріжок, моделювання індивідуальних локацій, 3д візуалізацію цього, 2д плани, освітлення (нічна версія), 3д відео-ролик, 360 градусів панорами.

https://gnadesigngroup.org.ua/ua/terytoriia.html

* При замовленні однієї послуги буде знижка на наступну.

Люблю Творити Індивідуальні, Оригінальні, Креативні рішення. Можу розробити Цікавий дизайн для вас і для тих, з ким ви співпрацюєте, знайомих. Дизайн як для будинків та квартир так і для інших споруд/комерції, бізнесу, приміщень, офісів, закладів, кафе/ресторанів і т.д.

Споруди/Дизайн Фасаду, Ландшафт, Інтер єри, цікаві Інвест. проекти, оригінальні рішення, направлення діяльності, креативні ідеї, арт-об єкти, відео-ролики, благоустрій, творчість, інфо, новини і т.д. див. на моєму сайті:

https://GNAdesigngroup.org.ua

Зв язок: (096) xxx xxxx

місяць тому
Бригада С.м.м
На сайті вже 2 роки тому
Був 6 годин тому
Рейтинг: 28 з 80

Мої вітання можемо виконати ваш замовлення ві а дя за доступними цінами Микола Миколайович (098) xxx xxxx

місяць тому
Служба підтримки